Главная >> Геометрия 7—9 классы. Атанасян

§ 3. Умножение вектора на число. Применение векторов к решению задач

Практические задания к § 3. Умножение вектора на число

775. Начертите два неколлинеарных вектора начала которых не совпадают, и отметьте какую-нибудь точку О. От точки О отложите векторы, равные

776. Начертите два неколлинеарных вектора и постройте векторы: Выполните задания а) — е) для двух коллинеарных ненулевых векторов .

777. Начертите два неколлинеарных вектора начала которых не совпадают. Постройте векторы

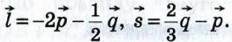
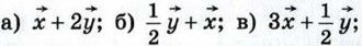
778. Начертите попарно неколлинеарные векторы Постройте векторы:

 

 

???????@Mail.ru