Главная >> Геометрия 7—9 классы. Атанасян

§ 3. Умножение вектора на число. Применение векторов к решению задач

Задачи к § 3. Умножение вектора на число (окончание)

Средняя линия трапеции

793. Боковые стороны трапеции равны 13 см и 15 см, а периметр равен 48 см. Найдите среднюю линию трапеции.

794. Сторона АВ треугольника АВС разделена на четыре равные части и через точки деления проведены прямые, параллельные стороне ВС. Стороны АВ и АС треугольника отсекают на этих параллельных прямых три отрезка, наименьший из которых равен 3,4 см. Найдите два других отрезка.

795. Найдите диаметр окружности, если его концы удалены от некоторой касательной на 18 см и 12 см.

796. Из концов диаметра CD данной окружности проведены перпендикуляры СС, и DDl к касательной, не перпендикулярной к диаметру CD. Найдите DDU если ССг = 11 см, a CD = 27 см.

797. Докажите, что средняя линия трапеции проходит через середины диагоналей.

798. Боковая сторона равнобедренной трапеции равна 48 см, а средняя линия делится диагональю на два отрезка, равные 11 см и 35 см. Найдите углы трапеции.

799. Дана равнобедренная трапеция ABCD. Перпендикуляр, проведённый из вершины В к большему основанию AD, делит это основание на два отрезка, больший из которых равен 7 см. Найдите среднюю линию трапеции.

Ответы к задачам § 3. Умножение вектора на число

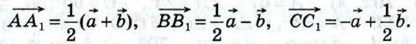
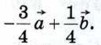
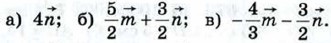
    781.

    782.

    783.

    784.

    786.

    787.

    790. Указание. Воспользоваться задачей 785.

    793. 10 см.

    794. 6,8 см и 10,2 см.

    795. 30 см.

    796. 16см.

    798. 60°, 60°, 120°, 120°.

    799. 7см.

<<< К началу

 

 

???????@Mail.ru