Главная >> Геометрия 7—9 классы. Атанасян

§ 3. Уравнения окружности и прямой

Взаимное расположение двух окружностей

Исследуем взаимное расположение двух окружностей в зависимости от их радиусов r, R и расстояния d между их центрами. Для определённости будем считать, что r ≤ R.

Если центры окружностей совпадают, т. е. d = 0, то окружности называются концентрическими, и окружность радиуса г лежит внутри круга радиуса R (рис. 288, а).

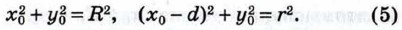
Пусть d > 0. Введём прямоугольную систему координат Оху так, чтобы точка О была центром первой окружности, а точка с координатами (d; 0) — центром второй окружности. В этой системе координат уравнения первой и второй окружностей имеют вид

    х2 + у2 = R2,     (х - d)2 + у2 = r2.       (4)

    Рис. 288

Если система уравнений (4) имеет решением пару чисел х = х0, у = у0, то точка М0 (х0; у0) является общей точкой данных окружностей (рис. 288, б), и обратно: если М0 (x0; у0) — общая точка данных окружностей, то пара чисел х = х0, у = у0 является решением системы уравнений (4).

Пусть система (4) имеет решением пару чисел x = х0, у = у0, т. е. справедливы числовые равенства

Вычитая из первого равенства второе, подучаем равенство 2x0d - d2 = R2 - r2, откуда

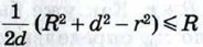
Заметим, что х0 > 0, поскольку R ≥ r и d > 0. Кроме того, как следует из первого равенства (5), т. е. для величин R, r и d должно выполняться неравенство или R2 + d2 - r2 ≤ 2dR. Последнее неравенство запишем в виде (d - R)2 ≤ r2. Отсюда следует, что -r ≤ d - R ≤ r, или

    R - r ≤ R + r.               (7)

Отметим, что х0 = R, если d = R - r или d = R + r, и x0 < R, если R - r < d < R + r.

Окончание >>>

 

 

???????@Mail.ru