Главная >> Геометрия 7—9 классы. Атанасян

§ 2. Соотношения между сторонами и углами треугольника

Теорема синусов

Теорема

Стороны треугольника пропорциональны синусам противолежащих углов.

Доказательство

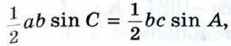
Пусть в треугольнике АВС АВ = с, ВС = а, СА = b. Докажем, что

По теореме о площади треугольника

Из первых двух равенств получаем: откуда Точно так же из второго и третьего равенств следует,

Итак,

Теорема доказана.

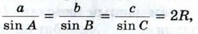
Замечание

Можно доказать (см. задачу 1033), что отношение стороны треугольника к синусу противолежащего угла равно диаметру описанной окружности. Следовательно, для любого треугольника АВС со сторонами АВ = с, ВС = а и С А = b имеют место равенства

где R — радиус описанной окружности.

 

 

???????@Mail.ru