Главная >> Геометрия 7—9 классы. Атанасян

§ 2. Соотношения между сторонами и углами треугольника

Решение треугольников

Решением треугольника называется нахождение всех его шести элементов (т. е. трёх сторон и трёх углов) по каким-нибудь трём данным элементам, определяющим треугольник.

Рассмотрим три задачи на решение треугольника. При этом будем пользоваться такими обозначениями для сторон треугольника АВС: АВ = с, ВС = а, СА = b.

Решение треугольника по двум сторонам и углу между ними

Задача 1

Дано: a, b, ∠C. Найти: с, ∠A, ∠B.

Решение

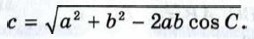
1. По теореме косинусов находим с:

Решение треугольника по двум сторонам и углу между ними

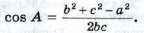
2. Пользуясь теоремой косинусов, имеем:

Угол А находим с помощью микрокалькулятора или по таблице.

3. ∠B = 180° - ∠A - ∠C.

Решение треугольника по стороне и прилежащим к ней углам

Задача 2

Дано: a, ∠B, ∠C. Найти: ∠A, b, с.

Решение

1. ∠A = 180° - ∠B - ∠C.

2. С помощью теоремы синусов вычисляем b и с:

Окончание >>>

 

 

???????@Mail.ru