Главная >> Геометрия 7—9 классы. Атанасян

§ 2. Соотношения между сторонами и углами треугольника

Ответы к § 2. Соотношения между сторонами и углами треугольника

    1020. а) 12√6 см2; б) 27 см2; в) ≈ 36 см2.

    1022. 16 см.

    1023. 25 см2.

    1024.

    1025. a) ∠C = 80°, а «12,3, b ≈ 9,1; б) ∠B = 75°, с ≈ 4,5, а ≈ 2,3; в) ∠B ≈ 37,989° ≈ 37°59', ∠C ≈ 62°01', с =14; г) ∠A = 65°, b — 19,2, с-25,5; д) ∠B ≈ 37,317° = 37°19', ∠C ≈ 82°41', с ≈ 11; е) с ≈ 5,7, ∠A = ∠B = 63°; ж) а ≈ 53,84, ∠B ≈ 36,296° ≈ 36°18', ∠C ≈ 56°42'; з) ∠A = 42,833° ≈ 42°50', ∠B ≈ 60,941° ≈ 60°57', ∠C ≈ 76°13'; и) ∠A ≈ 54,883° ≈ 54°52', ∠B ≈ 84,270° ≈ 84°16', ∠C ≈ 40°52'.

    1026. АВ ≈15 см, SADC ≈ 87 см2.

    1027. АС = 6 м, АВ ≈ 3 м, ВС ≈ 4 м.

    1028. ≈ 39°38', ≈ 117°52' или ≈ 140°22', ≈ 17°08'.

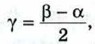
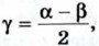
    1029. где у = если α ≥ β, и если β > α.

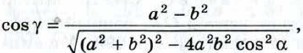
    1030. где γ — угол между диагоналями параллелограмма.

    1031. а) Остроугольный; б) прямоугольный; в) тупоугольный.

    1032. ≈ 74,2 кг.

    1034. ≈ 28 см.

    1035. 60° или ≈ 47,112° ≈ 47°07'.

    1036. ≈ 52 м.

    1037. ≈ 14,5 м.

    1038. 50 м.

<<< К началу

 

 

???????@Mail.ru