Главная >> Геометрия 7—9 классы. Атанасян

Глава XI. Соотношения между сторонами и углами треугольника. Скалярное произведение векторов

Дополнительные задачи к главе XI (продолжение)

Применение скалярного произведения векторов к решению задач

1073. Четырёхугольник ABCD задан координатами своих вершин: А (-1; 2), В (1; -2), С (2; 0), D (1; 6). Докажите, что ABCD — трапеция, и найдите её площадь.

Решение

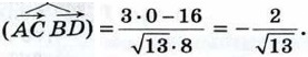
Векторы имеют координаты: Эти векторы коллинеарны, так как их координаты пропорциональны. По координатам векторов находим их длины: АD = √20, ВС = √5. Таким образом, AD || BC и AD > BC, следовательно, ABCD — трапеция с основаниями АО и ВС. Пусть S — площадь трапеции ABCD. Согласно утверждению задачи 1059, где α — угол между АС и ВО. По формуле (5) § 3 найдём сначала Так как то АС = у√13, BD = 8 и Отсюда следует, что Таким образом,

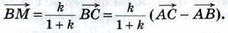
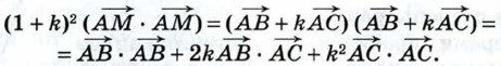
1074. Точка М лежит на стороне ВС треугольника АВС и ВМ = kMC. Докажите, что

    (1 + k)2 AM2 = k2b2 + 2bck cos A + c2,

где b = AC, с = AB.

Решение

По условию задачи М лежит на отрезке ВС и ВМ = kMC, поэтому или Следовательно,

По правилу треугольника сложения векторов или Таким образом,

Отсюда получаем:

Так как

то полученная формула совпадает с искомой формулой.

1075. В треугольнике АВС отрезок AD — биссектриса, AM — медиана, b = АС, с = АВ. Докажите, что:

1076. Диагонали параллелограмма взаимно перпендикулярны. Докажите, что этот параллелограмм является ромбом.

1077. Докажите, что коэффициент подобия двух подобных треугольников равен отношению радиусов окружностей: а) описанных около треугольников; б) вписанных в эти треугольники.

<<< К началу          Ответы >>>

 

 

???????@Mail.ru