Главная >> Геометрия 7—9 классы. Атанасян

§ 1. Многогранники

Ответы к задачам § 1. Многогранники

1210. Докажите, что объём пирамиды равен одной трети произведения площади основания на высоту.

Решение

Воспользуемся принципом Кавальери. Рассмотрим две пирамиды, «стоящие» на одной плоскости: произвольную пирамиду с площадью основания S и высотой PH = h и правильную четырёхугольную пирамиду с высотой QO = h и стороной основания 2к (рис. 359). Согласно доказанному в п. 128 объём второй пирамиды равен Требуется доказать, что объём V первой пирамиды равен

    Рис. 359

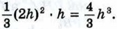
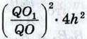
Проведём секущую плоскость, параллельную плоскости оснований пирамид и пересекающую высоты PH и QO в точках Н1 и О1 соответственно. Площадь сечения первой пирамиды равна а площадь сечения второй — (см. задачу 1209). По условию PH = QO = h. Интуитивно ясно также, что PH1 = QО1 (аккуратное доказательство этого факта будет дано в курсе стереометрии 10—11 классов). Следовательно, площадь сечения первой пирамиды в раз больше площади сечения второй пирамиды. Поэтому и её объём V в раз больше, т. е. что и требовалось доказать.

1211. Найдите объём пирамиды с высотой h, если: а) h = 2м, а основанием является квадрат со стороной 3 м; б) h = 2,2 м, а основанием является треугольник АВС, в котором АВ = 20 см, ВС =13,5 см, ∠ABC = 30°.

1212. Найдите объём правильной четырёхугольной пирамиды, если сторона её основания равна m, а плоский угол (т. е. угол грани) при вершине равен α. 1184. а) 6, 12, 8; б) 4, 6, 4; в) 8, 12, 6. 1187. а) Нет; б) нет; в) нет; г) да; д) нет. 1189. а) Параллелограмм ABC1D1; б) параллелограмм АСС1А1. 1190. Искомой точкой является точка пересечения прямых: a) MN и ВС; б) AM и A1B1. 1191. Указание. Сначала через середину ребра CD провести прямую, параллельную B1D1. 1192. Указание, а) Сначала через точку М провести прямую, параллельную NK, и далее рассмотреть отдельно случаи, когда эта прямая пересекается с ребром ВС и когда она пересекается с ребром СС1; б) сначала через точку N провести прямую а, параллельную МК, и далее рассмотреть отдельно три случая: прямая а пересекает ребро АА1; прямая а пересекает ребро DD1; прямая а совпадает с AD.

Ответы к задачам § 1. Многогранники

    1193. a) √6; б) 17; в) 13.

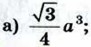
    1194. а√3.

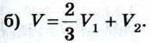
    1195. a) V = V1 + V2;

    1196. 12 см.

    1197. 240√2 см3.

    1199.

    1200. б) а3; г) 2а3 ctg 22°30'.

    1201. Нет.

    1207. √58 см, √58 см, √65 см, √65см.

    1208. 3а2.

    1211. а) 6 м3; б) 4950 см3.

    1212.

<<< К началу

 

 

???????@Mail.ru