Главная >> Геометрия 7—9 классы. Атанасян

Глава XIV. Начальные сведения из стереометрии

Задачи повышенной трудности к главе XIV. Начальные сведения из стереометрии

1304. Все плоские углы тетраэдра О АВС при вершине О — прямые. Докажите, что квадрат площади треугольника АВС равен сумме квадратов площадей остальных граней (пространственная теорема Пифагора).

1305. Докажите, что сечением куба может быть правильный треугольник, квадрат, правильный шестиугольник.

1306. Комната имеет форму куба. Паук, сидящий в середине ребра, хочет, двигаясь по кратчайшему пути, поймать муху, сидящую в одной из самых удалённых от него вершин куба. Как должен двигаться паук?

1307. Докажите, что в кубе можно вырезать сквозное отверстие, через которое можно протащить куб таких же размеров.

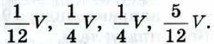
1308. Плоскости AB1C1 и А1ВС разбивают правильную треугольную призму АВСА1В1С1 на четыре части. Найдите объёмы этих частей, если объём призмы равен V.

1309. Докажите, что плоскость, проходящая через ребро и середину противоположного ребра тетраэдра, разделяет его на две части, объёмы которых равны.

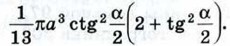
1310. Правильная четырёхугольная пирамида со стороной основания а и плоским углом α при вершине вращается вокруг прямой, проходящей через вершину параллельно стороне основания. Найдите объём полученного тела.

Ответы на задачи повышенной трудности к главе XIV. Начальные сведения из стереометрии

    1304. Указание. Пользуясь теоремой о площади треугольника (п. 100) и теоремой косинусов, выразить квадрат площади треугольника АВС через квадраты его сторон, а затем воспользоваться теоремой Пифагора.

    1306. Указание. Разрезать куб по некоторым рёбрам и развернуть его таким образом, чтобы получилась плоская фигура.

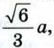
    1307. Указание. Взять в качестве оси отверстия диагональ куба и сначала доказать, что проекцией куба на плоскость, перпендикулярную к этой оси, является правильный шестиугольник со стороной , где а — длина ребра куба.

    1308.

    1309. Указание. Доказать, что полученные две части являются тетраэдрами с общим основанием и равными высотами.

    1310.

 

 

???????@Mail.ru