Главная >> Геометрия 7—9 классы. Атанасян

§ 2. Соотношения между сторонами и углами треугольника

Некоторые свойства прямоугольных треугольников

Рассмотрим свойства прямоугольных треугольников, которые устанавливаются с помощью теоремы о сумме углов треугольника.

10. Сумма двух острых углов прямоугольного треугольника равна 90°.

В самом деле, сумма углов треугольника равна 180°, а прямой угол равен 90°, поэтому сумма двух острых углов прямоугольного треугольника равна 90°.

20. Катет прямоугольного треугольника, лежащий против угла в 30°, равен половине гипотенузы.

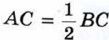
Рассмотрим прямоугольный треугольник АВС, в котором угол А — прямой, ∠B = 30° и, значит, ∠C = 60° (рис. 131, а). Докажем, что .

Приложим к треугольнику АВС равный ему треугольник ABD так, как показано на рисунке 131, б. Получим треугольник BCD, в котором ∠B = ∠D = 60°, поэтому DC = BC. Но . Следовательно, , что и требовалось доказать.

    рис. 131

30. Если катет прямоугольного треугольника равен половине гипотенузы, то угол, лежащий против этого катета, равен 30°.

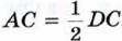
Рассмотрим прямоугольный треугольник АВС, у которого катет АС равен половине гипотенузы ВС (рис. 132, а). Докажем, что ∠ABC = 30°.

Приложим к треугольнику АВС равный ему треугольник ABD так, как показано на рисунке 132, б. Получим равносторонний треугольник BCD. Углы равностороннего треугольника равны друг другу (объясните почему), поэтому каждый из них равен 60°. В частности, ∠DBC = 60°. Но ∠DBC = 2∠ABC. Следовательно, ∠ABC = 30°, что и требовалось доказать.

    рис. 132

 

 

???????@Mail.ru