Главная >> Геометрия 7—9 классы. Атанасян

§ 3. Теорема Пифагора

Задачи к § 3. Теорема Пифагора

483. Найдите гипотенузу прямоугольного треугольника по данным катетам а и 6:

    а) а = 6, 6 = 8;
    б) а = 5, 6 = 6;

    г) а = 8, 6 = 8√3.

484. В прямоугольном треугольнике а и 6 — катеты, с — гипотенуза. Найдите 6, если:

    а) а = 12, с = 13;
    б) а = 7, с- 9;
    в) а — 12, с = 26;
    г) а = 2√3, с = 26;
    д) а = 36, с = 2√0.

485. Найдите катет прямоугольного треугольника, лежащий против угла 60°, если гипотенуза равна с.

486. В прямоугольнике ABCD найдите:

    а) AD, если АВ = 5, АС =13;
    б) ВС, если CD= 1,5, АС = 2,5;
    в) CD, если BD= 17, ВС= 15.

487. Боковая сторона равнобедренного треугольника равна 17 см, а основание равно 16 см. Найдите высоту, проведённую к основанию.

488. Найдите: а) высоту равностороннего треугольника, если его сторона равна 6 см; б) сторону равностороннего треугольника, если его высота равна 4 см.

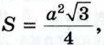
489. Докажите, что площадь равностороннего треугольника вычисляется по формуле где а — сторона треугольника. Найдите площадь равностороннего треугольника, если его сторона равна:

    а) 5 см; б) 1,2 см; в) 2√2 дм.

490. Найдите боковую сторону и площадь равнобедренного треугольника, если: а) основание равно 12 см, а высота, проведённая к основанию, равна 8 см; б) основание равно 18 см, а угол, противолежащий основанию, равен 120°; в) треугольник прямоугольный и высота, проведённая к гипотенузе, равна 7 см.

491. По данным катетам а и 6 прямоугольного треугольника найдите высоту, проведённую к гипотенузе:

    а) а = 5, 6 = 12; б) а = 12, 6 = 16.

492. Найдите высоты треугольника со сторонами 10 см, 10 см и 12 см.

493. Найдите сторону и площадь ромба, если его диагонали равны 10 см и 24 см.

494. Найдите диагональ и площадь ромба, если его сторона равна 10 см, а другая диагональ — 12 см.

495. Найдите площадь трапеции ABCD с основаниями АВ и CD, если: а) АВ = 10см, ВС = DA = 13 см, CD = 20 см; б) ∠C = ∠D) = 60°, АВ = ВС = 8 см; в) ∠C = ∠D) = 45°, АВ = 6 см, ВС = 9∠2 см.

496. Основание D высоты CD треугольника АВС лежит на стороне АВ, причём AD = BC. Найдите АС, если АВ = 3, a CD = ∠3.

497. Одна из диагоналей параллелограмма является его высотой. Найдите эту диагональ, если периметр параллелограмма равен 50 см, а разность смежных сторон равна 1 см.

498. Выясните, является ли треугольник прямоугольным, если его стороны выражаются числами: а) 6, 8, 10; б) 5, 6, 7; в) 9, 12, 15; г) 10, 24, 26; д) 3, 4, 6; е) 11, 9, 13; ж) 15, 20, 25. В каждом случае ответ обоснуйте.

499. Найдите меньшую высоту треугольника со сторонами, равными: а) 24 см, 25 см, 7 см; б) 15 см, 17 см, 8 см.

Ответы >>>

 

 

???????@Mail.ru