Главная >> Домашние работы к учебнику Макарычева. Алгебра 8 класс

§ 1. Рациональные дроби и их свойства

Рациональные выражения. Алгебра

1. Целыми являются выражения: (х - у)2 - 4ху,

Дробными являются выражения: (с + 3)2 +

10. Рациональное выражение имеет смысл, если знаменатель не равен нулю,

а) При х ≠ 2;

б) Имеет смысл при любом значении переменной b, так как b2 + 7 > 0;

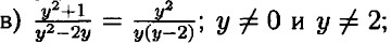
в) При у ≠ 0 и у ≠ 3;

г) При а ≠ 0 и а ≠ 1.

11. а) х — может принимать любые значения;

б) х ≠ 0,5;

в) х — может принимать любые значения;

г) x ≠ -1 и х ≠ 0;

д) х — может принимать любые значения;

е) x ≠ -8 и x ≠ 0.

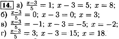
12. а) у — может принимать любые значения;

б) у ≠ 9;

г) у — может принимать любые значения;

д) у ≠ 6 и у ≠ -б;

е) у ≠ 0 и у ≠ -7.

Окончание >>>

 

 

???????@Mail.ru