Главная >> Домашние работы к учебнику Макарычева. Алгебра 8 класс

§ 5. Арифметический квадратный корень

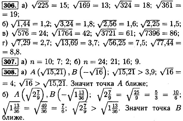
Квадратные корни. Арифметический квадратный корень

Окончание >>>

 

 

???????@Mail.ru