Главная >> Домашние работы к учебнику Макарычева. Алгебра 8 класс

§ 7. Применение свойств арифметического квадратного корня

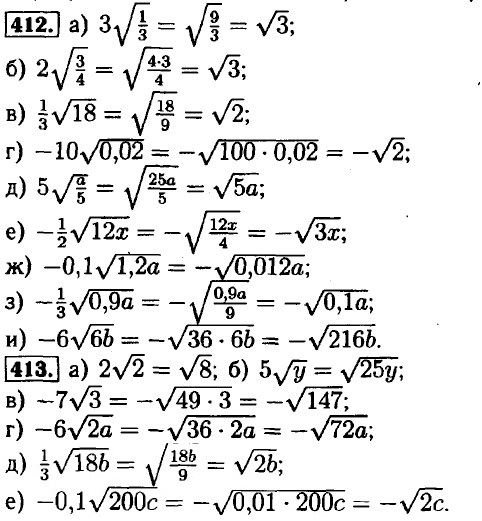
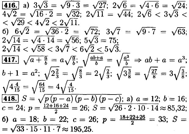
Вынесение множителя за знак корня. Внесение множителя под знак корня

 

 

???????@Mail.ru