Главная >> Домашние работы к учебнику Макарычева. Алгебра 8 класс

§ 8. Квадратное уравнение и его корни

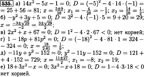
Формула корней квадратного уравнения

533. а) 2х2 + 3х + 1 = 0; D = 32 -4 • 2 • 1 = 9 - 8 = 1 > 0; уравнение имеет два корня; б) 2х2 + х + 2 = 0; D = 12 - 4 • 2 • 2 = -15 < 0; уравнение не имеет корней; в) 9х2 + 6х + 1 = 0; D = 62 - 4 • 9 • 1 = 36 - 36 = 0; уравнение имеет один корень; г) х2 + 5х - 6 = 0; D = 52 - 1 • 4 • (-6) = 25 + 24 = 49 > 0; уравнение имеет два корня.

Окончание >>>

 

 

???????@Mail.ru