Главная >> Домашние работы к учебнику Макарычева. Алгебра 8 класс

§ 8. Квадратное уравнение и его корни

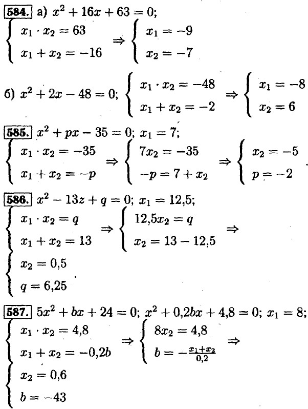
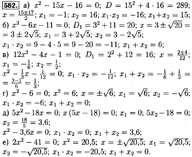
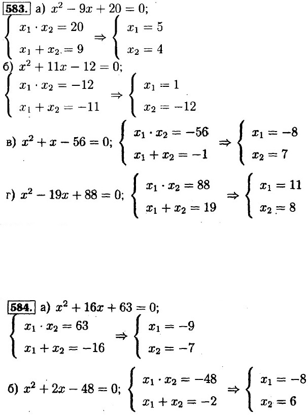
Теорема Виета

Окончание >>>

 

 

???????@Mail.ru