Главная >> ГДЗ к учебнику Макарычева. Алгебра 8 класс

§ 10. Числовые неравенства и их свойства

Числовые неравенства (окончание)

<<< К началу

 

 

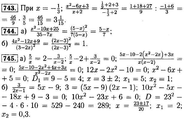
???????@Mail.ru