Главная >> Домашние работы к учебнику Макарычева. Алгебра 8 класс

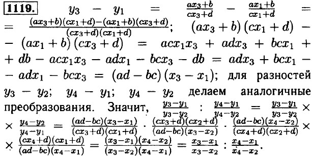
Задачи повышенной трудности

Окончание >>>

 

 

???????@Mail.ru