Главная >> Домашние работы к учебнику Макарычева. Алгебра 8 класс

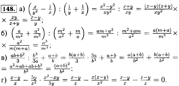
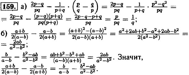
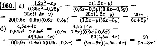
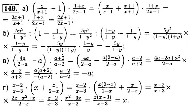
§ 3. Произведение и частное дробей

Преобразование рациональных выражений

Окончание >>>

 

 

???????@Mail.ru