Главная >> Домашние работы к учебнику Макарычева. Алгебра 8 класс

§ 3. Произведение и частное дробей

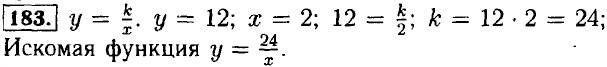
Функция и ее график

184.1 а) При х = 2; у - 4; при х = 4; у = 2; при х = -1; у = -8; при х = -4; у = -2; при х = -5; У = -1,6;

б) При у = -4; х = -2; при у = -2; х = -4; при у = 8; х = 1.

а) При х = 4; у = -2; при х = 2,5; у = -3,2; при х = 1,5; у = -5,3; при х = -1; у = 8; при х = -2,5; y = 3,2;

б) При у = 8; х = -1; при у = -2; х = 4.

Окончание >>>

 

 

???????@Mail.ru