Главная >> ГДЗ к учебнику Макарычева. Алгебра 8 класс

Глава 1. Рациональные дроби

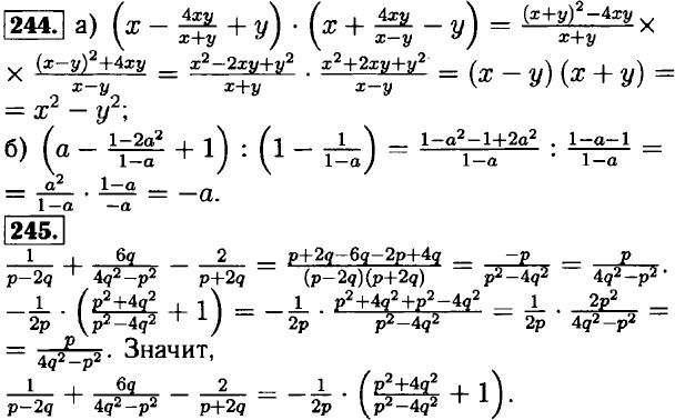
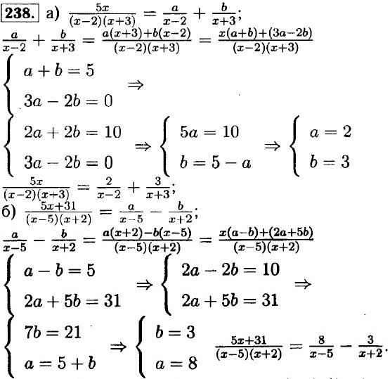
Дополнительные упражнения к главе 1 (окончание)

<<< К началу

 

 

???????@Mail.ru