Главная >> Домашние работы к учебнику Макарычева. Алгебра 8 класс

§ 3. Произведение и частное дробей

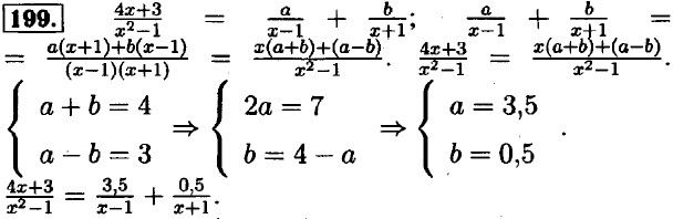
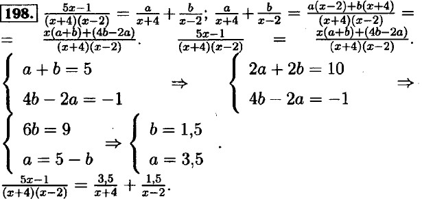
Представление дроби в виде суммы дробей

 

 

???????@Mail.ru