Главная >> Домашние работы к учебнику Макарычева. Алгебра 9 класс

§ 4. Степенная функция. Корень n-й степени

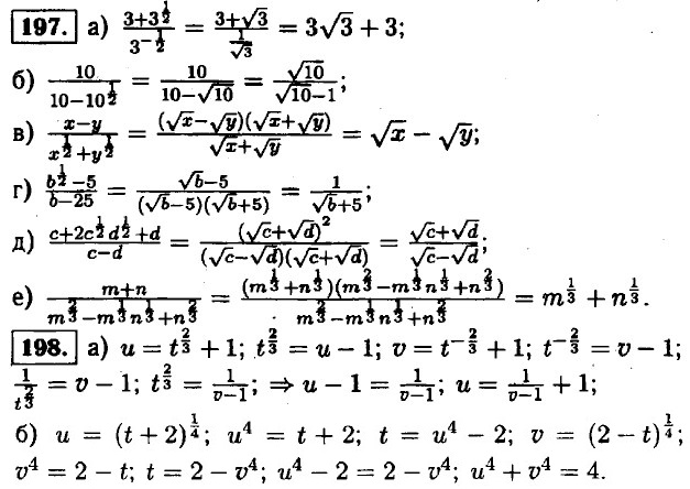
Степень с рациональным показателем

 

 

???????@Mail.ru