Главная >> ГДЗ к учебнику Макарычева. Алгебра 9 класс

Глава 2. Квадратичная функция

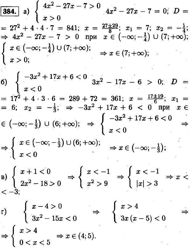
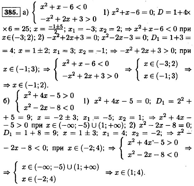
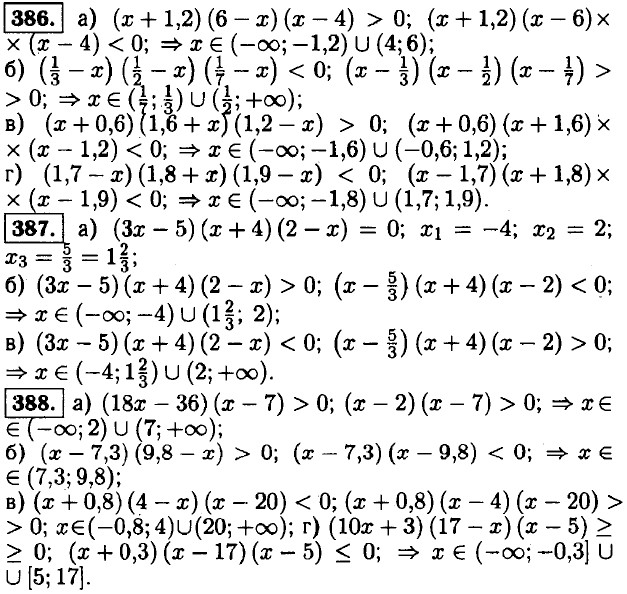
Дополнительные упражнения к главе 2 (окончание)

<<< К началу

 

 

???????@Mail.ru