Главная >> ГДЗ к учебнику Макарычева. Алгебра 9 класс

§ 1. Функции и их свойства

Свойства функции (окончание)

44. a) у = 8x - 5; у = x + 1; б) у = -3x + 11; у = -49x - 100; у = 1 - x.

145. а) При a - 2 > 0; ⇒ a > 2; б) При a - 2 < 0; ⇒ a < 2; в) При a - 2 = 0; ⇒ a = 2.

48. а) ƒ(х) = 0; 13x - 78 = 0; 13x = 78; х = 6;

б) ƒ(х) > 0; 13x - 78 > 0; 13x > 78; х > 6;

в) ƒ(x) < 0; 13x - 78 < 0; 13x < 78; х < 6; функция является возрастающей.

49. у = x2; область определения (-∞; +∞); область значений [0; +∞); у = 0 при х = 0; у > 0 при х ≠ 0; функция возрастает при х > 0; убывает при х < 0;

y = х3; область определения (-∞; +∞); область значений (-∞; +∞); у = 0 при х = 0; у > 0 при х > 0; у < 0 при х < 0; функция возрастает.

у = |x|; область определения (-∞; +∞); область значений [0; +∞); у = 0 при х = 0; у > 0 при х ≠ 0; функция возрастает при х > 0; убывает при х < 0.

<<< К началу

 

 

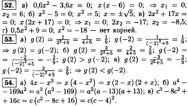
???????@Mail.ru