Главная >> ГДЗ к учебнику Макарычева. Алгебра 9 класс

§ 10. Геометрическая прогрессия

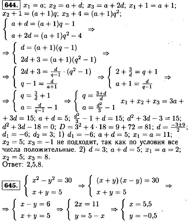
Определение геометрической прогрессии. Формула n-го члена геометрической прогрессии (окончание)

<<< К началу

 

 

???????@Mail.ru