Главная >> Домашние работы к учебнику Макарычева. Алгебра 9 класс

Глава 4. Арифметическая и геометрическая прогрессии

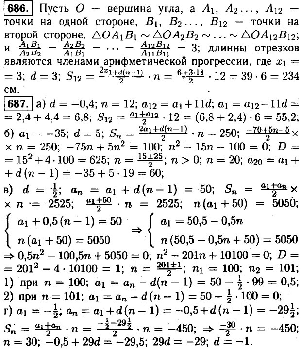
Дополнительные упражнения к главе 4. Арифметическая и геометрическая прогрессии

Окончание >>>

 

 

???????@Mail.ru