Главная >> Домашние работы к учебнику Макарычева. Алгебра 9 класс

Упражнения для повторения курса 7-9 классов

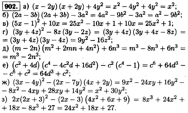
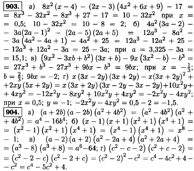
Тождественные преобразования

Окончание >>>

 

 

???????@Mail.ru