Главная >> ГДЗ к учебнику Макарычева. Алгебра 9 класс

Упражнения для повторения курса 7-9 классов

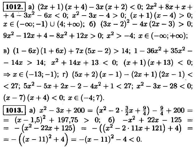
Неравенства (окончание)

<<< К началу

 

 

???????@Mail.ru