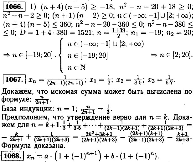
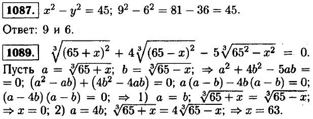
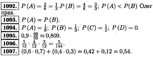
Главная >> ГДЗ к учебнику Макарычева. Алгебра 9 класс

Задачи повышенной трудности (окончание)

<<< К началу

 

 

???????@Mail.ru