Главная >> Задачник по физике. 10 класс. Генденштейн. Часть 3

Глава 1. Кинематика

§ 10. «Секреты» прямолинейного равноускоренного движения (окончание)

ВЫСОКИЙ УРОВЕНЬ

13. Электричка проехала от одной станции до другой за 2 мин. Расстояние между станциями 2 км. При этом половину времени электричка ехала равномерно, а остальное время ушло на разгон и торможение, в течение которых электричка двигалась равноускоренно, но с разными по модулю ускорениями. Какова скорость равномерного движения?

14. Автомобиль тормозит с постоянным ускорением. Средняя скорость автомобиля за первые две секунды торможения в 1,5 раза больше, чем его средняя скорость за следующие две секунды. Через какое время после начала торможения автомобиль остановится?

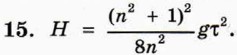
15. Шарик, свободно падая без начальной скорости, проходит начальный участок пути некоторой длины за время τ, а конечный участок той же длины — за время С какой высоты Н падает шарик?

16. За промежуток времени τ непосредственно перед ударом о землю свободно падающий без начальной скорости шарик пролетел расстояние, которое в n раз меньше начальной высоты. Чему равно время t падения шарика?

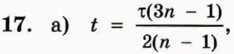
17. За последнюю секунду свободно падающее без начальной скорости тело пролетело путь, в п раз больший, чем за предпоследнюю.

    а) Сколько времени длилось падение?

    б) С какой высоты падало тело?

18. За последнюю секунду свободного падения тело пролетело 20 м. Какова скорость тела в момент падения? Сколько времени длилось падение? Какова начальная высота тела?

Ответы и указания к § 10

    1. 15 м/с; 150 м.

    2. 20 м/с; 5 с; 8 м/с2.

    3. 3 м/с; 6 м/с; 0,3 м/с2.

    4. 80 км/ч.

    5. 7 м/с, 13 м/с.

    6. 120 км/ч.

    7. 50 с.

    8. 18 м.

    9. 10 см; 30 см; 50 см.

    10. 36 м.

    11. 25 см.

    12. 40 м/с; 4 с; 80 м.

    13. 80 км/ч.

    14. Через 3,5 с.

    где τ = 1 с.

    18. 25 м/с; 2,5 с; 31,25 м.

<<< К началу

 

 

???????@Mail.ru