Главная >> Задачник по физике. 10 класс. Генденштейн. Часть 3

Глава 2. Динамика

§ 18. Плотность планеты. Суточное вращение планеты

В задачах этого параграфа под углом наклона имеется в виду угол наклона к горизонту, если иное не оговорено в условии.

ПОВЫШЕННЫЙ УРОВЕНЬ

1. Радиус планеты равен R, а её средняя плотность равна ρ. Считайте, что вращением планеты вокруг своей оси можно пренебречь. Какие величины можно найти из этих данных? Напишите формулы, выражающие эти величины через R, ρ, G.

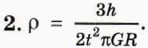
2. На планете радиуса R камень падает с обрыва высотой h в течение времени t. Какова средняя плотность планеты?

3. Средняя плотность некоторой планеты равна средней плотности Земли, а радиус этой планеты в 2 раза меньше радиуса Земли. Чему равна первая космическая скорость для этой планеты?

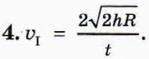
4. Астронавты играют в футбол на планете радиуса R. Когда лежащий на поверхности планеты мяч поднимается после удара на высоту h, он находится в полёте в течение времени t. Чему равна первая космическая скорость υ1 для этой планеты?

5. Тело свободно падает без начальной скорости на планете, радиус которой в k раз больше радиуса Земли. При этом оно пролетает в n раз большее расстояние, чем пролетает за то же время тело, свободно падающее без начальной скорости вблизи поверхности Земли. Чему равно отношение средней плотности планеты к средней плотности Земли?

6. Во сколько раз должна была бы уменьшиться продолжительность земных суток, чтобы тела на земном экваторе оказались в состоянии невесомости?

7. Масса некоторой планеты равна М, а её радиус равен R. Продолжительность суток на этой планете равна Т. Чему равно отношение веса тела Рэ на экваторе планеты к весу этого же тела Рп на полюсе?

8. Вес тела на полюсе планеты в n раз больше, чем на экваторе. Средняя плотность планеты ρ. Чему равен период Т вращения планеты вокруг собственной оси?

ВЫСОКИЙ УРОВЕНЬ

9. Определите среднюю плотность планеты, если период её вращения вокруг своей оси равен 3 • 104 с, а вес тела на экваторе составляет 97 % от веса этого же тела на полюсе.

10. Поезд массой 3000 т едет с постоянной скоростью вдоль экватора Земли на восток. Когда он развернулся и поехал с той же скоростью на запад, его вес изменился на 24 кН. Увеличился или уменьшился вес поезда? Чему равна скорость поезда?

11. С космодрома, находящегося на земном экваторе, производят запуск искусственного спутника Земли. Найдите минимальную скорость относительно Земли для искусственного спутника с учётом суточного вращения Земли.

Ответы и указания к § 18

    3. 4 км/с.

    6. В 17,2 раза.

    9. 5200 кг/м3.

    10. Увеличился; 99 км/ч.

    11. 7,5 км/с.

 

 

???????@Mail.ru