Главная >> Задачник по физике. 10 класс. Генденштейн. Часть 3

§ 36. Применение условий равновесия тела

Ответы и указания к § 36. Применение условий равновесия тела

    1. а) 18,4°. б) 0,33.

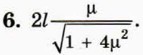
    2. Если то hmах = h; если то

    Указание. Удобнее начинать решать задачу с условия равновесия верхнего кирпича.

    5. μ ≥ 0,29.

    8. l = 20 см.

    10. 1,76 kH.

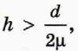
    12. Если μ ≥ tgα, to h = l cos α; если μ. < tgα, то Указание. Формулировка условия подразумевает, что массой лестницы можно пренебречь.

<<< К началу

 

 

???????@Mail.ru