Главная >> Задачник по физике. 10 класс. Генденштейн. Часть 3

Глава 6. Электростатика

§ 55. Применение закона Кулона и принципа суперпозиции полей (окончание)

ВЫСОКИЙ УРОВЕНЬ

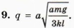
9. Три маленьких одинаково заряженных шарика массой m каждый подвешены на нитях равной длины l, закреплённых в одной точке. Расстояние между любыми двумя шариками равно а, причём а << l. Каков заряд q каждого шарика?

10. Ромб составлен из двух равносторонних треугольников со стороной 20 см. В вершинах при острых углах ромба находятся заряды по 6 • 10'7 Кл. В вершине при одном из тупых углов находится заряд 8 • 10-7 Кл. Чему равна напряжённость поля в четвёртой вершине ромба?

11. Три одинаковых положительных заряда q расположены в вершинах равностороннего треугольника со стороной а. Определите величину напряжённости поля Е в точке А, лежащей на расстоянии а от каждого из зарядов.

Ответы и указания к § 55

    1. 1,8.

    3. 7,2 кВ/м.

    4. На 6 см. Указание. Тангенс малого угла приближённо равен значению угла в радианной мере.

    5. 2 мН.

    6. 392 кВ/м.

    равновесие будет неустойчивым.

    8. 480 В. Указание. Воспользуйтесь тем, что из соображений симметрии следует: напряжённость поля в рассматриваемой точке направлена вдоль оси кольца.

    10. 315 кВ/м.

<<< К началу

 

 

???????@Mail.ru