Главная >> Задачник по физике. 10 класс. Генденштейн. Часть 3

Глава 6. Электростатика

§ 56. Движение заряженного тела в электрическом поле (окончание)

ВЫСОКИЙ УРОВЕНЬ

10. Электрон влетает в плоский конденсатор параллельно его пластинам со скоростью 2,0 • 107 м/с. Напряжённость поля в конденсаторе 2,5 • 104 В/м, длина конденсатора 80 мм. Найдите модуль υ и направление скорости электрона в момент вылета из конденсатора.

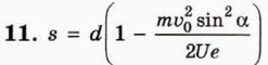
11. Электрон влетает со скоростью υ0 в пространство между пластинами плоского конденсатора через отверстие в нижней пластине под углом а к плоскости пластин (рис. 56.1). Расстояние между пластинами d, напряжение между пластинами U. На какое наименьшее расстояние s приблизится электрон к верхней пластине? Размеры пластин считайте достаточно большими.

12. В плоский конденсатор длиной 5,0 см влетает электрон под углом 15° к пластинам. Энергия электрона 2,4 • 10-16 Дж, расстояние между пластинами 10 мм. При каком напряжении на конденсаторе электрон вылетит параллельно пластинам конденсатора?

Ответы и указания к § 56

    1. Выше потенциал точки В, 259 В.

    2. 2000 В.

    3. 5 нКл; практически не зависит. Указание. Сравните силы, действующие на пылинку со стороны Земли и со стороны электрического поля.

    4. 2,5 • 106 м/с.

    5. 9 нс.

    6. 3,3 • 106 м/с.

    7. U ≥ 100 В.

    8. 50 см.

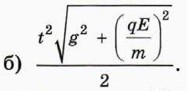
    9. а) Прямая,

    10. υ = 2,7 • 107 м/с; скорость направлена под углом α = 41° к плоскости пластин.

    при s = 0 при

    12. 150 B.

<<< К началу

 

 

???????@Mail.ru