Главная >> Задачник по физике 10-11 класс. Рымкевич

§ 5. Перемещение при равноускоренном движении

Ответы к § 5: Перемещение при равноускоренном движении

    61. 2:1; 2:1.

    62. 90 см.

    63. х = -4,9 м.

    64. 10 с.

    65. 9 с.

    66. 100 м/с2; 1 км/с.

    67. 715 м/с.

    68. В 1,41 раза.

    69. 50 м.

    70. Ускорение при разбеге в 1,24 раза меньше, а время в 1,46 раза больше.

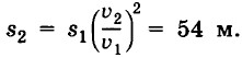
    71.

    72. 240 м.

    73. а) В 3 раза; б) в √3 раза.

    74. х = 3t2; 300 м.

    75. υx = 0,8t; 6,4 м.

    76. Ускоренное; -5 м; 5 м.

    77. 20 с; 60 м; 70 м.

    78. 2 м/с; 8 м/с.

    79. 0,2 м/с2; 15 м/с.

    80. 1. 0, 0, -0,8 м/с2, влево, равноускоренное; 2. 400 м, -0,6 м/с, 0, влево, равномерное; 3. -300 м, 0, 0, покой.

    81. 1. υ1x = 10 + 0,8t, ускоренное; 2. υ2x = 2 - 2t, замедленное, через 1 с ускоренное; 3. υ3x = -4 + 4t, замедленное, через 1 с ускоренное; 4. υ4x = -1 - 12t, ускоренное.

    82. хI = 0,625t2; хII = 5t + 2,5t2; хIII = 20t - 2t2.

    83. 8 м/с; 0,8 м/с2; -1,6 м/с2; 15 с; 4 м/с.

    84. 2,6 м/с.

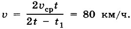
    85.

    86. а) 10 с; 40 м; б) 45 м; в) 120 м.

    87. х1 = 6,9 + 0,1t2; х2 = 2t + 0,2t2; 3 с; 7,8 м.

    88. 3 с, 5 с; 24 м, 40 м.

<<< К началу

 

 

???????@Mail.ru