Главная >> Задачник. Физика 10 класс. Генденштейн

§ 10. «Секреты» прямолинейного равноускоренного движения

Ответы к § 10. «Секреты» прямолинейного равноускоренного движения

    1. 15 м/с; 150 м.

    2. 20 м/с; 5 с; 8 м/с2.

    3. 3 м/с; 6 м/с; 0,3 м/с2.

    4. 80 км/ч.

    5. 7 м/с, 13 м/с.

    6. 120 км/ч.

    7. 50 с.

    8. 18 м.

    9. 10 см; 30 см; 50 см.

    10. 36 м.

    11. 25 см.

    12. 40 м/с; 4 с; 80 м.

    13. 80 км/ч.

    14. Через 3,5 с.

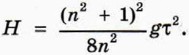
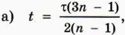
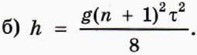
    15.

    16.

    17. где τ = 1 с.

    18. 25 м/с; 2,5 с; 31,25 м.

<<< К началу

 

 

???????@Mail.ru