Главная >> Задачник. Физика 10 класс. Генденштейн

§ 18. Плотность планеты. Суточное вращение планеты

Ответы к § 18. Плотность планеты. Суточное вращение планеты

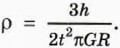
    2.

    3. 4 км/с.

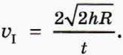
    4.

    5.

    6. В 17,2 раза.

    7.

    8.

    9. 5200 кг/м3.

    10. Увеличился; 99 км/ч.

    11. 7,5 км/с.

<<< К началу

 

 

???????@Mail.ru