Главная >> Задачник. Физика 10 класс. Генденштейн

§ 30. Потенциальная энергия

Ответы к § 30. Потенциальная энергия

    1. а) У свинцового, б) 4,2.

    2. а) 30 Дж. б) 15 Дж. в) 15 Дж.

    3. 5 Дж.

    4. а) -200 Дж. б) 200 Дж. в) -200 Дж.

    5. а) 2000 Н/м. б) 0,9 Дж; 8,1 Дж. в) -7,2 Дж.

    6. 0,12 Дж.

    7. а) 20 Дж. б) 30 Дж.

    8. 0,5 Дж.

    9. На 1 Дж.

    10. На 75 %.

    11. -2.

    12. 0,63 Дж.

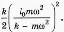
    13.

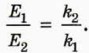
    14.

<<< К началу

 

 

???????@Mail.ru