Главная >> Задачник. Физика 10 класс. Генденштейн

§ 36. Применение условий равновесия тела

Ответы к § 36: Применение условий равновесия тела

    1. а) 18,4°. б) 0,33.

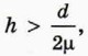
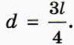
    2. Если то hmax = h; если то

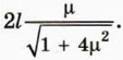
    3.

    4. Указание. Удобнее начинать решать задачу с условия равновесия верхнего кирпича.

    5.

    6.

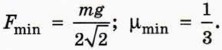
    7.

    8. l = 20 см.

    9.

    10. 1,76 kH.

    11.

    12. Если тo h = l cos α; если μ < tgα, то У казан ие. Формулировка условия подразумевает, что массой лестницы можно пренебречь.

    13.

<<< К началу

 

 

???????@Mail.ru