Главная >> Задачник. Физика 10 класс. Генденштейн

§ 39. Газовые процессы

Ответы к § 39: Газовые процессы

    1. а) Примерно 310 К. б) 183 К. в) 77 К.

    2. а) В 3 раза, б) Увеличился в 3 раза.

    3. Давление газа не изменяется; 819 К.

    4. 369 К.

    5. 6 л.

    6. а) 100 К.

    7. 1092 К.

    8. На 75 К.

    9. а) Увеличилось в 4 раза.

    10. а) 8 л. б) 0,4 • 105 Па.

    11. а) 300 К. б) 900 К.

    12. а) 105 Па. б) 4 • 105 Па.

    13. 83 кПа.

    14. 147 см3.

    15. 375 К.

    16. 375 К.

    17. 120 кПа.

    18. 100.

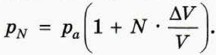
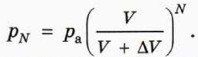
    19. 98 Па. Указание. При каждом ходе поршня давление в сосуде уменьшается в 2 раза.

    20. Уменьшится в 2 раза.

    23. На 25 %.

    24. 50 м.

    25. 100 К; 40 кПа.

    26. 9T1.

    27.

    28. Уменьшилось на 21 %.

    29. 1.

    30. 4.

    31. Указание. При каждом ходе поршня происходит изотермическое расширение воздуха от объёма V до объёма V + ΔV.

    32. Уменьшится в 8 раз. Указание. Воспользуйтесь уравнением Клапейрона.

    33. На участке АСВ давление газа возрастало, а на участке BDA — убывало. Указание. Проведите через различные точки графика изобары.

    34. Наибольшая температура достигается в точке С, наименьшая — в точке D. Указание. Проведите через различные точки графика изотермы.

    35.

<<< К началу

 

 

???????@Mail.ru