Главная >> Задачник. Физика 10 класс. Генденштейн

§ 55. Применение закона Кулона и принципа суперпозиции полей

Ответы к § 55: Применение закона Кулона и принципа суперпозиции полей

    1. 1,8.

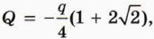
    2.

    3. 7,2 кВ/м.

    4. На 6 см. Указание. Тангенс малого угла приближённо равен значению угла в радианной мере.

    5. 2 мН.

    6. 392 кВ/м.

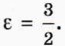
    7. равновесие будет неустойчивым.

    8. 480 В. Указание. Воспользуйтесь тем, что из соображений симметрии следует: напряжённость поля в рассматриваемой точке направлена вдоль оси кольца.

    9.

    10. 315 кВ/м.

    11.

<<< К началу

 

 

???????@Mail.ru