Главная >> Задачник. Физика 10 класс. Генденштейн

§ 56. Движение заряженного тела в электрическом поле

Ответы к § 56: Движение заряженного тела в электрическом поле

    1. Выше потенциал точки В, 259 В.

    2. 2000 В.

    3. 5 нКл; практически не зависит. Указание. Сравните силы, действующие на пылинку со стороны Земли и со стороны электрического поля.

    4. 2,5 • 106 м/с.

    5. 9 нс.

    6. 3,3 • 106 м/с.

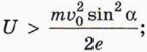
    7. U ≥ 100 В.

    8. 50 см.

    9. а) Прямая, б)

    10. υ = 2,7 • 107 м/с; скорость направлена под углом α = 41° к плоскости пластин.

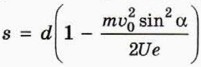
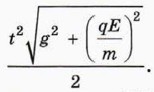
    11. при s = 0 при

    12. 150 B.

<<< К началу

 

 

???????@Mail.ru