Главная >> Задачник. Физика 10 класс. Генденштейн

§ 7. Свободное падение и движение тела, брошенного вертикально вверх

Ответы к § 7. Свободное падение и движение тела, брошенного вертикально вверх

    1. а) 20 м/с. б) 20 м. в) В 3 раза.

    2. а) 3,35 с. б) 33,5 м.

    3. а) Вверх, б) 0. в) 45 м. г) 3 с. д) 30 м/с.

    4. 55 м.

    5. В 2 раза. В 4 раза.

    6. а) 4 с. б) 8 с. в) 40 м/с. г) 80 м. д) 5 м. е) 20 м/с.

    7. а) 20 м/с. б) 2 с. в) 20 м. г) Например, 0 и 4 с; 1 и 3 с.

    8. 5 м/с, 15 м/с, 25 м/с. 5(2n - 1) м/с.

    9. 125 м. 10. 3,54 м/с.

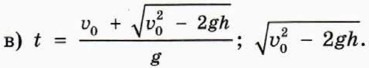
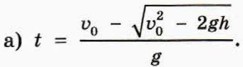
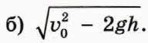
    11.

    12. 3 с. 20 м/с.

    13. 50 м.

    14. 7 м/с.

    15. 1215 м.

    16. 25,6 м/с.

    17. Больше 17,3 м/с.

    18. 0,85 с.

    19. 20 м/с.

<<< К началу

 

 

???????@Mail.ru