Главная >> Задачник. Физика 10 класс. Генденштейн

§ 9. Сложение скоростей и переход в другую систему отсчёта при движении на плоскости

Ответы к § 9. Сложение скоростей и переход в другую систему отсчёта при движении на плоскости

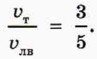
    1.

    2. 30°.

    3. 98 м/с.

    4. а) См. рисунок 2.

      Рис. 2

    5.

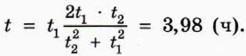
    6. У Антона, в 1,25 раза больше.

    7. 25 м/с.

    8. а) 5 км/ч. б) α = 53°. в) 4,5 мин. г) 375 м. д) 300 м.

    9.

    10. α = 1,91°.

    11.

<<< К началу

 

 

???????@Mail.ru