Главная >> Задачник по физике 7 класс. Генденштейн

10. Прямолинейное неравномерное движение. Средняя скорость

Прямолинейное неравномерное движение. Средняя скорость: Ответы, указания, решения

    10.7.1,7 см/ч; 0,027см/мин.

    10.8.3,7 м/с.

    10.9.35 км/ч.

    10.10.30 км/ч.

    10.11. 2 км/ч; 4 км/ч.

    10.12. 5 м/с.

    10.17. 8,6 м/с.

    10.18. 4,5 км/ч.

    10.19. 8 см/ч; 10 см/ч.

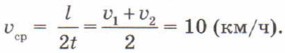
    10.20. 10 км/ч. Решение. Если человек в течение времени t шел со скоростью υ1, а затем столько же времени ехал со скоростью υ2, то пройденный путь l = υ1t+ υ2t. Поскольку полное время движения равно 21, средняя скорость на всем пути

    10.21. 14 км/ч.

    10.22. 67,5 км/ч.

    10.23. 55 км/ч.

    10.24. 2 км/ч.

    10.27. 1,8 м/с.

    10.30. 45 км/ч.

    10.31. 82 км/ч.

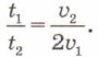
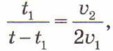
    10.32. 0,5 ч. Решение. отсюда Поскольку t2 = t - t1, получаем откуда

    10.33.6 км/ч.

    10.34. 9 км/ч.

    10.35. 4 км/ч.

    10.36. 50 км/ч.

    10.37. 36 км/ч.

    10.38. 2/3.

    10.39. 135 км/ч.

    10.40. 15 км/ч.

    10.41. 3 km.

    10.42. Указание. Сравните скорость движения по равнине со средней скоростью движения по склону (вверх и вниз).

    10.43. Указание. Время движения обоих приятелей должно быть одинаковым.

    10.44. 4 ч.

<<< Третий уровень

 

 

???????@Mail.ru