Главная >> Задачник по физике 7 класс. Генденштейн

25. Простые механизмы. Рычаг

Простые механизмы. Рычаг: Ответы, указания, решения

25.20. Рычагами являются педали и руль велосипеда.

25.21. Нет, не следует. Тот, кто имеет большую массу, должен сесть ближе к опоре.

25.22. Уменьшение плеча рычага дает возможность увеличить вес поднимаемого груза.

25.26. 75 см.

25.27. 42 см.

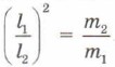
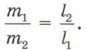
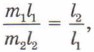
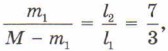
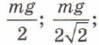
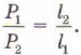
25.29. 21 кг; 9 кг. Решение. Условие равновесия рычага: Поскольку Р1 = m1g, Р2 = m2g, получаем отсюда Так как m = М - m1, получаем от куда m2 = 9 кг.

25.30.15 кг; 9 кг.

25.31. 2 кг; 18 кг.

25.32. На расстоянии 10 см от большей силы.

25.33.15 см.

25.34.125 Н.

25.35. Выигрыша в силе нет; на 20 см.

25.36. 40 кг. 25.37. Выигрыш в силе одинаков.

25.40. а) При малом плече будет мала чувствительность весов; б) плечо силы зависит от точки подвеса чашки, а не от положения тела на чашке.

25.41. Пятая; при использовании наклонной плоскости мы выигрываем в силе во столько раз, во сколько раз длина наклонной плоскости больше ее высоты.

25.42. 80 Н.

25.43. 1 кг; в 2 раза. Решение. Обозначим правое плечо весов l1, а левое — l2. Тогда из условия равновесия рычага получаем m1l1 = ml2, m2l2 = ml1. Перемножив эти уравнения и сократив обе части на l1, l2, получим m1m2 = m2, откуда Разделив первое из написанных выше уравнений на второе, получим откуда Следовательно,

25.44. 15 кг; на 15 см.

25.45. 50 см.

25.46. 25 см.

25.47. 30 г; на длины.

25.48. 20 Н.

25.49. 1 кг.

25.50. 2 кг.

25.51. 40 Н и 50 Н.

25.52. 6 кг.

25.53. 2,1 см.

25.54. 10 г.

25.55. вправо вверх перпендикулярно к AD.

<<< Третий уровень

 

 

???????@Mail.ru