Главная >> Задачник по физике 8 класс. Генденштейн

Электромагнитные явления

Закон сохранения электрического заряда. Закон Кулона

    Быть может, эти электроны —
    Миры, где пять материков,
    Искусства, знанья, войны, троны
    И память сорока веков!
    Еще, быть может, каждый атом —
    Вселенная, где сто планет;
    Там все, что здесь в объеме сжатом,
    Но также то, чего здесь нет.

      В. Я. Брюсов

    Закон Кулона

Устная разминка

11.1. Как устроен электроскоп и для чего его применяют?

11.2. Зависит ли угол отклонения листочков электроскопа от знака переданного им заряда?

11.3. Как по углу расхождения листочков электроскопа судят о его заряде?

11.4. Почему угол отклонения листочков заряженного электроскопа со временем уменьшается?

11.5. Почему разряжается электроскоп, если его шарика коснуться пальцем?

11.6. Сформулируйте закон сохранения электрического заряда. Каково условие его выполнения?

11.7. В каком случае электрический заряд системы может измениться?

11.8. В каком случае два взаимодействующих заряженных шарика можно считать точечными зарядами?

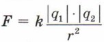
11.9. Какие закономерности взаимодействия заряженных тел установил Кулон?

11.10. Как изменяется сила взаимодействия между двумя

1 уровень >>>

 

 

???????@Mail.ru