Главная >> Задачник по физике 8 класс. Генденштейн

Формулы по физики для 8 класса

1. Количество теплоты, которое тело массой m получает при нагревании:

    Q = cm(tK - tН),

где с — удельная теплоемкость вещества, tН и tK — соответственно начальная и конечная температура тела.

2. Количество теплоты, которое тело отдает при охлаждении:

    Q = cm(tН - tK).

3. При полном сгорании топлива массой m выделяется количество теплоты

    Q = qm,

где q — удельная теплота сгорания топлива.

4. Для плавления кристаллического тела массой m при температуре плавления необходимо количество теплоты

    Q = λm,

где λ — удельная теплота плавления вещества. Когда происходит кристаллизация жидкости, выделяется такое же количество теплоты.

5. Количество теплоты, необходимое для того, чтобы превратить жидкость массой m в пар при постоянной температуре:

    Q = Lm,

где L — удельная теплота парообразования. Когда происходит конденсация пара при постоянной температуре, выделяется такое же количество теплоты.

6. Коэффициент полезного действия теплового двигателя:

    КПД теплового двигателя

где Ап — полезная работа двигателя, Q — количество теплоты, выделившееся при сгорании топлива.

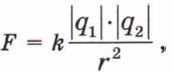
7. Сила взаимодействия двух точечных зарядов q1 и q2:

    Сила взаимодействия двух точечных зарядов

где r — расстояние между зарядами.

8. Закон Ома:

    Закон Ома:

где I — сила тока в проводнике, U — напряжение на проводнике, R — сопротивление проводника.

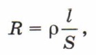
9. Зависимость сопротивления от размеров провода:

    Зависимость сопротивления от размеров провода

где ρ — удельное сопротивление материала, l и S — соответственно длина и площадь поперечного сечения провода.

10. Общее сопротивление при последовательном соединении проводников:

    R = R1 + R2 + ...

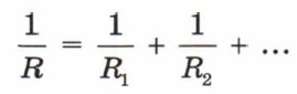
11. Общее сопротивление при параллельном соединении проводников:

    Общее сопротивление при параллельном соединении проводников

12. Количество теплоты, которое выделяется в проводнике за время t:

    Q = I2Rt.

13. Работа тока:

    А = UIt.

14. Мощность тока:

    Р = UI.

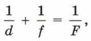
15. Формула тонкой линзы:

    Формула тонкой линзы

где d — расстояние от предмета до линзы, ƒ — расстояние от линзы до изображения, F — фокусное расстояние линзы.

 

 

???????@Mail.ru