Главная >> Задачник по физике 9 класс. Генденштейн

Импульс. Закон сохранения импульса

Импульс. Закон сохранения импульса: Ответы, указания, решения

12.16. Импульс стального шарика больше в 2,9 раза.

12.17. Импульс алюминиевого шарика больше в 1,2 раза.

12.18. 300 Н.

12.19. 2 кН.

12.23. 2 м/с.

12.24. 0,2 м/с.

12.25. 0,6 м/с.

12.26. 6,4 м/с.

12.27. 2 м/с.

12.28. а) 2; б) 3.

12.30. За время столкновения пули и стекла деформация стекла не успевает распространиться далеко. Поэтому импульс, теряемый пулей, передается небольшому участку стекла и пуля пробивает в нем круглое отверстие.

12.31. Нет (импульс системы может измениться только под действием внешних сил).

12.32. При такой «пересадке» импульс тела человека изменялся бы очень быстро. Для этого на тело должна действовать огромная сила, которую тело не выдержит.

12.35. 400 кг • м/с.

12.36. 0,1 м/с.

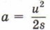
12.37. 0,3 м. Решение. Согласно закону сохранения импульса Мu = mυ, откуда приобретенная конькобежцем скорость Когда конькобежец откатывается, сила трения Fтр = μMg сообщает ему ускорение а = μg. Из соотношения получаем

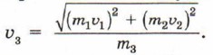
12.38. 60 кг. 12.39. 200 м/с. Решение. Воспользуемся законом сохранения импульса. Поскольку перед разрывом импульс снаряда был равен нулю, сумма импульсов осколков также равна нулю: Следовательно, импульсы осколков образуют прямоугольный треугольник, а искомый вектор — его гипотенуза. Воспользовавшись теоремой Пифагора, получим

12.40. 2 м/с.

12.41. 4,5 м/с. Указание. Воспользовавшись законом сохранения импульса, найдите отношение массы богатыря к массе тележки.

<<< Третий уровень

 

 

???????@Mail.ru